GBDT(梯度提升树)不仅能解决回归问题,也同样适用于分类任务。它的核心思想与回归 GBDT 一致:通过不断地迭代修正和逐步优化,使模型在分类场景中持续提升预测性能。
接下来,我们将通过一个具体案例,直观地展示 GBDT 在分类任务中的训练与预测全过程。我们会一步步揭示它的内部机制,看看 GBDT 是如何将多个弱学习器逐层叠加,最终形成一个强大的分类模型,并理解其背后的数学原理。
1. 训练过程

- \( \hat{y}(x) \) 表示模型对输入 \( x \) 的最终预测值
- \( \hat{y}_{0}(x) \) 表示初始输出值
- \( f_{m}(x) \) 表示第 \( m \) 棵树的输出值
- \( \eta \) 表示学习率,控制每棵树的贡献
- \( M \) 表示 GBDT 中回归决策树的数量
| 特征 1 | 特征 2 | 特征 3 | 标签 |
|---|---|---|---|
| -0.587231 | -1.971718 | -1.057711 | 0 |
| 1.068339 | -0.970073 | 0.208864 | 1 |
| -1.140215 | -0.838792 | 0.822545 | 0 |
| -0.077445 | -1.599711 | -1.220844 | 0 |
| 1.727259 | -1.185827 | -1.959670 | 1 |
| -2.895397 | 1.976862 | 0.196861 | 0 |
| -1.962874 | -0.992251 | -1.328186 | 0 |
| 1.899693 | 0.834445 | 0.171368 | 1 |
| -0.720634 | -0.960593 | -0.013497 | 0 |
| -1.715464 | 2.173706 | 0.738467 | 0 |
1.1 初始模型
GBDT 的初始模型 \( \hat{y}_{0}(x) \) 作用是在训练开始时,为每个样本提供一个基础的预测值,后续每棵子树都在此基础上,通过拟合当前残差(或负梯度)来进一步优化预测结果。
注意:初始模型 \( \hat{y}_{0}(x) \) 的输出通常是一个常数(即对所有样本预测同一个值)

那么,这个初始模型的输出值 c 怎么确定?对于经典的二分类问题,我们一般使用的 log loss 损失函数,其公式如下:

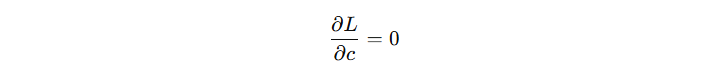
对于初始模型来讲,看看 c 输出什么时,损失函数最小。我们对 c 求导,设导数为 0:

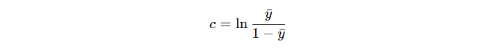
得到初始模型输出计算公式(省略中间推导过程):


由此可得,初始模型的输出结果为:

1.2 子决策树
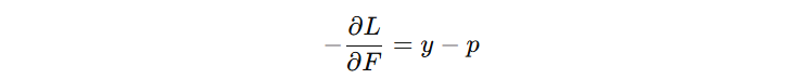
在 GBDT 中,前面所有子模型(通常是决策树)组合起来,形成当前整体模型的输出,接下来第 m 棵树的目标是:学习如何在当前模型的基础上,进一步降低整体损失函数 L。

- \( F \) :模型当前输出值
- \( p \) :模型预测的概率
- \( y \) :真实标签(0 或 1)
计算模型的优化方向(负梯度):

| 特征 1 | 特征 2 | 特征 3 | 标签 | 预测分数 | 预测概率 | 负梯度 |
|---|---|---|---|---|---|---|
| -0.587231 | -1.971718 | -1.057711 | 0 | -0.8472 | 0.3 | -0.3 |
| 1.068339 | -0.970073 | 0.208864 | 1 | -0.8472 | 0.3 | 0.7 |
| -1.140215 | -0.838792 | 0.822545 | 0 | -0.8472 | 0.3 | -0.3 |
| -0.077445 | -1.599711 | -1.220844 | 0 | -0.8472 | 0.3 | -0.3 |
| 1.727259 | -1.185827 | -1.959670 | 1 | -0.8472 | 0.3 | 0.7 |
| -2.895397 | 1.976862 | 0.196861 | 0 | -0.8472 | 0.3 | -0.3 |
| -1.962874 | -0.992251 | -1.328186 | 0 | -0.8472 | 0.3 | -0.3 |
| 1.899693 | 0.834445 | 0.171368 | 1 | -0.8472 | 0.3 | 0.7 |
| -0.720634 | -0.960593 | -0.013497 | 0 | -0.8472 | 0.3 | -0.3 |
| -1.715464 | 2.173706 | 0.738467 | 0 | -0.8472 | 0.3 | -0.3 |

叶子节点的输出值需要进行修正,公式如下:

- 左叶子节点(7 个 0 样本):-0.3 / (0.3 * 0.7) = -1.43
- 右叶子节点(3 个 1 样本):0.7 / (0.3 * 0.7) = 3.33
最终得到第一个子决策树模型:

接下来,按照前面的思路继续构建第二棵子决策树:
| 特征 1 | 特征 2 | 特征 3 | 标签 | 预测分数 | 预测概率 | 负梯度 |
|---|---|---|---|---|---|---|
| -0.587231 | -1.971718 | -1.057711 | 0 | -0.99016 | 0.27 | -0.27 |
| 1.068339 | -0.970073 | 0.208864 | 1 | -0.51396 | 0.37 | 0.63 |
| -1.140215 | -0.838792 | 0.822545 | 0 | -0.99016 | 0.27 | -0.27 |
| -0.077445 | -1.599711 | -1.220844 | 0 | -0.99016 | 0.27 | -0.27 |
| 1.727259 | -1.185827 | -1.959670 | 1 | -0.51396 | 0.37 | 0.63 |
| -2.895397 | 1.976862 | 0.196861 | 0 | -0.99016 | 0.27 | -0.27 |
| -1.962874 | -0.992251 | -1.328186 | 0 | -0.99016 | 0.27 | -0.27 |
| 1.899693 | 0.834445 | 0.171368 | 1 | -0.51396 | 0.37 | 0.63 |
| -0.720634 | -0.960593 | -0.013497 | 0 | -0.99016 | 0.27 | -0.27 |
| -1.715464 | 2.173706 | 0.738467 | 0 | -0.99016 | 0.27 | -0.27 |
注意:预测分数 = 初始模型输出分数 + 学习率 * 第一课树输出分数
接下来,创建有一棵新的决策树去拟合负梯度,然后再修正叶子节点输出值。反复执行该动作,直到创建出指定数量的决策树,GBDT 分类模型训练完毕。
from sklearn.ensemble import GradientBoostingClassifier
from sklearn.datasets import make_classification
def demo():
x, y = make_classification(n_samples=10, n_features=3, n_redundant=0, n_repeated=0, weights=[0.7, 0.3], random_state=42)
gbdt = GradientBoostingClassifier(n_estimators=3, criterion='squared_error', loss='log_loss')
gbdt.fit(x, y)
if __name__ == '__main__':
demo()
2. 预测过程
假设:我们基于训练数据得到 GBDT 分类模型。这个模型包括一个初始输出模型 + 三棵决策树。

现在基于这个模型,对新数据 的类别进行预测:[0.49671415 -0.1382643 0.64768854]
首先,计算该样本的初始分数:-0.84729786
然后,我们将新样本输入到每个决策树,分别得到的每个决策树的输出分数:
- 第一棵树:3.33
- 第二棵树:2.67
- 第三棵树:2.28
接着,假设学习率为 0.1,将所有的分数加起来:-0.85 + (3.33+2.67+2.28) * 0.1 = -0.0187849
最后,,使用 sigmoid 函数计算得到该样本属于 1 类别的概率:sigmoid(-0.0187849) = 0.5046

新样本属于 1 类别的概率为:0.5046,属于 0 类别的概率为 0.4954。由于 1 类别概率较高,最终新样本归类到 1 类别。
from sklearn.ensemble import GradientBoostingClassifier
from sklearn.datasets import make_classification
import matplotlib.pyplot as plt
from sklearn.tree import plot_tree
import numpy as np
def demo():
x, y = make_classification(n_samples=10, n_features=3, n_redundant=0, n_repeated=0, weights=[0.7, 0.3], random_state=42)
gbdt = GradientBoostingClassifier(n_estimators=3, criterion='squared_error', loss='log_loss')
gbdt.fit(x, y)
# 可视化
# for estimator in gbdt.estimators_:
# plt.figure(figsize=(10, 10))
# plot_tree(estimator[0], filled=True, rounded=True, fontsize=14, precision=2)
# plt.show()
# 新数据预测
np.random.seed(42)
new_x = np.random.randn(1, 3)
print('未知数据:', new_x)
print('直接计算类别概率:', gbdt.predict_proba(new_x)[0])
# 手动计算
# 1. 初始得分
total_score = -0.84729786
# 2. 累加每个树的得分
learning_rate = 0.1
for estimator in gbdt.estimators_:
# 每棵树计算得分
score = estimator[0].predict(new_x)
# 累加每棵树得分
total_score += score[0] * learning_rate
# 3. 将得分输出概率
sigmoid = lambda x: 1 / (1 + np.exp(-x))
proba = sigmoid(total_score)
print('手动计算类别概率:', np.array([1 - proba, proba]))
if __name__ == '__main__':
demo()
程序输出结果:
未知数据: [[ 0.49671415 -0.1382643 0.64768854]] 直接计算类别概率: [0.50469609 0.49530391] 手动计算类别概率: [0.50469609 0.49530391]


冀公网安备13050302001966号